티스토리 뷰
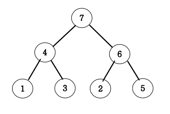
최대힙
최대힙은 완전이진트리로 구현된 자료구조이며
구성은 부모의 노드값이 왼쪽과 오른쪽 자식의 노드 값보다 크게 트리를 구성하는 것을 말한다.
이렇게 하는 트리의 루트노드는 입력된 값들 중 가장 큰 값이 저장되어 있다.
만약 1,2,3,4,5,6,7이 값으로 입력되면 트리는 아래와 같이 구성된다.

최대힙 예제코드
#include <iostream>
#include <vector>
#include <queue>
/* run this program using the console pauser or add your own getch, system("pause") or input loop */
using namespace std;
int main() {
//freopen("input.txt", "rt", stdin);
int a;
priority_queue<int> pQ;
while(true){
scanf("%d", &a);
if(a==-1) break;
if(a==0){
if(pQ.empty()) printf("-1\n");
else {
printf("%d\n", pQ.top());
pQ.pop();
}
}
else pQ.push(a);
}
return 0;
}
1) 자연수가 입력되면 최대힙에 입력한다.
2) 숫자 0 이 입력되면 최대힙에서 최댓값을 꺼내어 출력한다. (출력할 자료가 없으면 -1를 출력한다.)
3) -1이 입력되면 프로그램 종료한다.
위와같은 조건을 만족하는 프로그램을 작성하는 코드이다.
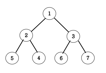
최소힙
최소힙은 완전이진트리로 구현된 자료구조이며
구성은 부모의 노드값이 왼쪽과 오른쪽 자식의 노드 값보다 작게 트리를 구성하는 것을 말한다.
이렇게 하는 트리의 루트노드는 입력된 값들 중 가장 작은 값이 저장되어 있다.
만약 1,2,3,4,5,6,7이 값으로 입력되면 트리는 아래와 같이 구성된다.

최소힙 예제코드
#include <iostream>
#include <vector>
#include <queue>
/* run this program using the console pauser or add your own getch, system("pause") or input loop */
using namespace std;
int main() {
freopen("input.txt", "rt", stdin);
int a, res;
priority_queue<int> pQ;
while(true){
scanf("%d", &a);
if(a==-1) break;
if(a==0){
if(pQ.empty()) printf("-1\n");
else {
printf("%d\n", -pQ.top());
pQ.pop();
}
}
else pQ.push(-a);
}
return 0;
}
1) 자연수가 입력되면 최소힙에 입력한다.
2) 숫자 0 이 입력되면 최소힙에서 최솟값을 꺼내어 출력한다. (출력할 자료가 없으면 -1를 출력한다.)
3) -1이 입력되면 프로그램 종료한다.
위와같은 조건을 만족하는 프로그램을 작성하는 코드이다.
'lecture > algorithm - c++' 카테고리의 다른 글
| [c++] 이항계수(메모이제이션), 친구인가(Union&Find 자료구조) (0) | 2021.01.16 |
|---|---|
| [c++] 최대수입 스케줄 (0) | 2021.01.15 |
| [c++] 송아지 찾기, 공주구하기(queue) (0) | 2021.01.14 |
| [c++] 이진트리 넓이우선탐색, 그래프 최단거리 - BFS (0) | 2021.01.13 |
| [c++] 최소비용(DFS: 인접행렬) (0) | 2021.01.12 |
댓글
공지사항
최근에 올라온 글
최근에 달린 댓글
- Total
- Today
- Yesterday
링크
TAG
- 알고리즘
- 이진탐색
- client side rendering
- 병행프로세스
- C
- 자료구조
- 배열
- 최단경로
- 동적프로그래밍
- Stack
- server side rendering
- 세마포어
- 스텍
- BFS
- 소프트웨어
- stackframe
- 인접행렬
- Java
- dfs
- react
- 재귀함수
- C++
- 입출력장치
- 퀵정렬
- 구조체
- javascript
- 교착상태
- 클래스
- 운영체제
- 인접리스트
| 일 | 월 | 화 | 수 | 목 | 금 | 토 |
|---|---|---|---|---|---|---|
| 1 | 2 | 3 | 4 | |||
| 5 | 6 | 7 | 8 | 9 | 10 | 11 |
| 12 | 13 | 14 | 15 | 16 | 17 | 18 |
| 19 | 20 | 21 | 22 | 23 | 24 | 25 |
| 26 | 27 | 28 | 29 | 30 | 31 |
글 보관함
